나이가 알츠하이머병 바이오마커에 가장 강력한 영향 미쳐
Aβ42 낮고 NfL와 REG4 높은 노인의 인지 장애 위험도 증가
미국 연구진이 면역 활성화 마커와 알츠하이머병 바이오마커로 노인의 인지 장애 위험성을 예측할 수 있다는 연구 결과를 내놨다.
미국 메이요 클리닉(Mayo Clinic)과 세인트루이스 워싱턴의대(Washington University School of Medicine) 공동 연구팀은 최근 ‘아포지단백E’(APOE) 유전자형과 연령, 성별 등의 요소가 뇌척수액(CSF) 염증 분자와 알츠하이머병 바이오마커에 어떠한 영향을 미치는지 조사했다.
알츠하이머병 환자의 뇌척수액 바이오마커는 아밀로이드 베타 42(Aβ42), 총 타우(Tau), 인산화된 타우-181, 미세신경섬유경쇄(Neurofilament Light Chain, NfL), SNAP25(Synaptosomal-Associated Protein 25), YKL40 등이다.
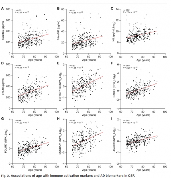
연구진이 인지 장애가 없는 65세 이상 298명을 대상으로 365개의 뇌척수액 면역 활성화 마커를 측정한 결과, 나이·성별, 당뇨병 상태가 그 수치에 현저하게 영향을 미친 것으로 확인됐다.
특히, 나이는 뇌척수액 알츠하이머병 바이오마커에 영향을 미치는 가장 강력한 요인으로 분석됐다. 이번 연구에서는 나이가 많을수록 총 타우, 미세신경섬유경쇄, YKL40과 유의미한 연관성을 보였다.
바이오마커와 나이 관련 상관관계를 관찰한 결과에 따르면, 알츠하이머병 발병의 가장 강력한 유전적 원인 인자로 알려진 APOE4는 뇌척수액에서 낮은 아밀로이드 베타 42(Aβ42), 높은 SNAP25(Synaptosomal-Associated Protein 25)와 연관이 있었다. 이는 APOE4가 주로 아밀로이드 병리나 시냅스 전(前) 손상을 악화시킨다는 것을 의미한다.
또 인지 기능 저하 위험성을 예측하는 기준 변수 조사에서는 나이와 뇌척수액 아밀로이드 베타 42, 미세신경섬유경쇄, REG4(Regenerating Family Member 4)가 각각 독립적 상관관계에 있었다.
추적 관찰 기간에는 ▲나이가 많고 ▲아밀로이드 베타 42가 낮고 ▲미세신경섬유경쇄가 높고 ▲REG4가 높은 노인들은 인지 장애 위험도가 증가하는 것으로 나타났다. REG4는 결장과 소장에서 가장 많이 발현되며 염증성 장 질환이나 궤양성 대장염에서 증가한다. 장 마이크로바이옴이 알츠하이머병과 연관성을 보인다는 연구도 학계에 다수 있다.
연구진은 “이번 연구로 뇌척수액 면역 활성화 마커가 알츠하이머병 바이오마커와 밀접한 상관관계가 있다는 점을 확인했다”며 “뇌척수액 바이오마커와 역학·임상적 특성을 결합하면 나이 들어 증상이 나타나기 전에 인지 기능이 떨어지는 경향을 더 명확하게 파악할 수 있을 것”이라고 설명했다.
이번 연구 결과는 국제 과학 학술지인 ‘사이언스 어드밴시스’(Science Advances) 최신호에 <CSF biomarkers of immune activation and Alzheimer’s disease for predicting cognitive impairment risk in the elderly>라는 제목으로 실렸다.
Primary Source
Francis Shue et al. ,CSF biomarkers of immune activation and Alzheimer’s disease for predicting cognitive impairment risk in the elderly.Sci. Adv.10,eadk3674(2024).DOI:10.1126/sciadv.adk3674
- 中 연구팀 "‘세포외소포’ 기반 유전자 치료로 알츠하이머병 치료 기대"
- 서울의대 연구팀, ‘뇌 갑상선 기능 저하증-알츠하이머병’ 관계 최초 규명
- 갈 길 먼 치매 치료제 시장...“2026년 이후 상업적 가치 확보할 것”
- 알츠하이머병 조기 진단 위한 20년 걸친 연구, 뇌척수액으로 진단
- 뇌 속 노폐물 청소하는 뇌척수액 배출 허브(Hub) 찾았다
- 장내 세균, 전임상 알츠하이머병의 바이오마커?
- 알츠하이머병 혈액 진단기술 진일보 신호탄?
- 스웨덴·노르웨이 등 연구팀 “혈장 뇌 유래 타우, 알츠하이머병 바이오마커로 작용”
- [김용성 칼럼] 뇌는 어떻게 장내미생물에 영향을 미치는가
- 로슈-일라이 릴리, 알츠하이머병 혈액검사 혁신의료기기 지정
- 네덜란드 연구진 “인지 건강 유지한 100세 노인, 비결은 유전자”
- 日 연구팀 “사회경제적 지위 오르면 치매 위험 줄어든다”
- 국내 연구진 “파킨슨병 환자서 치매 조기 발견 바이오마커 발굴”
- 코에 스프레이 뿌려 타우 병리를 제거해 치매를 예방한다
- IWG “인지 정상이면 일상적 알츠하이머병 바이오마커 진단 검사 말아야”