10일 자문위원 11명 만장일치로 승인 권고...레카네맙 이어 시판 승인 길 열려
알츠하이머병 진행 20~40% 늦춰...아리아 부작용 등 반론 지속될 듯
안전성 논란을 딛고 알츠하이머병 치료제인 레카네맙(Lecanemab, 제품명 레켐비Leqembi) 출시에 이어 도나네맙(Donanemab)의 시판 승인을 위한 길이 열렸다.
미국 식품의약품청(FDA) 말초·중추신경계 약물 자문위원회가 10일(현지시간) 열린 회의에서 일라이 릴리(Eli Lilly and Company)가 개발 중인 도나네맙의 승인을 FDA에 권고했다.
이날 회의에 참석한 자문위원 11명은 도나네맙이 초기 알츠하이머병 환자의 질병 진행 속도를 늦추는 데 효과적이고, 약물의 위험성보다 이익이 더 크다는 판단하에 만장일치로 이 같은 결론을 냈다. 다만, FDA가 반드시 자문위의 권고를 따라야 하는 것은 아니다. FDA는 “최종 결정은 자문위 회의에서 논의되지 않은 사안의 영향을 받을 수 있다”고 밝혔다.
앞서 일라이 릴리는 지난해 1월 FDA에 도나네맙의 신속 승인을 신청했지만, FDA는 더 많은 안전성 데이터가 필요하다는 이유로 이를 반려했다. FDA는 조만간 최종 승인을 내릴 것으로 전망된다.
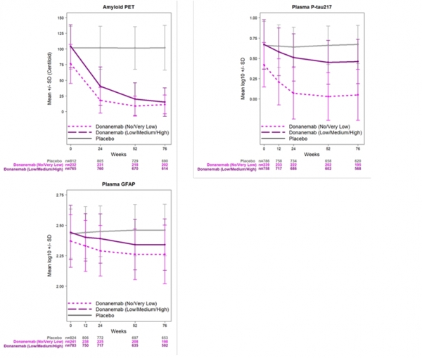
도나네맙의 임상 2상(TRAILBLAZER-ALZ, AACG)과 임상 3상(TRAILBLAZER-ALZ2, AACI) 결과에 따르면 18개월간 알츠하이머병 진행이 약 20%에서 40% 늦춰진 것으로 나타났다. 레카네맙은 27%가량 늦추는 것으로 알려졌다.
투약 방식은 도나네맙과 위약을 4주마다 최소 30분씩 최대 72주 동안 정맥 주입했다. 참가자는 처음 3주간 4주마다 700 mg을 투여받은 뒤 72주차까지 4주마다 1,400 mg을 투여받았다.
일차 평가변수는 76주 시점의 통합 알츠하이머병 평가 척도(integrated Alzheimer's Disease Rating Scale, iADRS)의 변화였다. 이차 평가변수에는 임상 치매 평가 척도-박스 합계(Clinical Dementia Rating Scale Sum of Boxes, CDR-SB)와 iADRS의 두 가지 구성 요소인 알츠하이머병 평가 척도-인지 하위 척도(ADAS-Cog 13) 및 알츠하이머병 협동 연구-일상생활 도구 활동 하위 척도(ADCS-iADL)의 기준치 대비 변화가 포함됐다.
76주차 iADRS의 기준선 대비 변화에 대한 1차 유효성 평가변수 분석 결과, 도나네맙 치료군은 인산화된 타우(p-Tau) 수치가 낮거나 중간인 환자군과 전체 환자군 모두에게 위약 대비 통계적으로 유의미한 치료 효과가 확인됐다. ADAS-Cog 13과 ADCS-iADL에서도 마찬가지 결과가 나타났다.
또 도나네맙 치료군은 타우 수치가 낮거나 중간인 전체 환자군에서 위약 대비 기준치 대비 CDR-SB 변화의 감소가 통계적으로 유의하게 감소한 것으로 확인됐다.
하지만 레카네맙이나 도나네맙 같은 ‘아밀로이드 베타(Aβ)’ 단백질 표적 단일 클론 항체 약물이 일으키는 부작용에 대한 심각한 우려는 여전히 남아있어 근본적인 치료제로 볼 수 있는지에 대한 논란이 계속되고 있다.
이 약물들은 뇌 속에 축적된 아밀로이드 베타 플라크(Plaques, 덩어리)를 제거하는 과정에서 혈관 내 부종(Edema)이나 출혈(Hemorrhage)을 일으키는 ‘아밀로이드 관련 영상 이상(Amyloid-Related Imaging Abnormalities, ARIA, 이하 아리아)’을 부작용으로 유발한다.
AACI에 참여한 환자에게서 아리아-E의 발생률은 24%, 아리아-H 발생률은 31%로 나타났다.
알츠하이머병 위험 유전자인 APOE ε4를 2개 보유한 동형접합형 환자에게서는 아리아 위험성이 훨씬 더 높게 나타난다.
학계 일각에서는 아밀로이드 베타 플라크 제거율과 임상 결과의 상관관계가 제대로 검증되지 않았다고 목소리를 냈다.
마이클 그레이시우스(Michael Greicius) 미국 스탠퍼드대 교수는 “도나네맙과 레카네맙 연구에서 아밀로이드 감소와 인지 결과 간 산점도(scatter plot)를 보지 못했다”며 “바이오마커 감소와 임상 결과 사이에 상관관계가 없다면 보고된 임상 효능을 어떻게 설명할 수 있나”라고 꼬집었다.
또 “아리아가 많이 나오는 임상시험일수록 결과가 더 좋은 경향으로 나타난다는 상관관계가 드러났다”며 “이는 기능적 눈가림 해제(functional unblinding)와 위약 효과가 보고 결과에 영향을 미칠 수 있다”고 우려했다.
그러면서 “CDR-SB는 환자의 상태에 대한 주관적인 보고에 크게 의존하기 때문에 특히 위약 효과에 따른 부풀리기가 발생하기 쉽다”면서 “APOE ε4 보인자는 질병이 더 빨리 진행되고 치료군에서 보인자를 제거하면 위약보다 치료 효과가 더 좋아 보일 수 있다”고 지적했다.
아밀로이드 베타는 양성이지만 타우 수치가 낮거나 검출되지 않은 환자 그룹을 임상시험에서 배제한 것도 임상시험의 신뢰성을 떨어뜨리는 요인으로 꼽는다. 타우가 없거나 수치가 낮은 참가자를 통계 분석에서는 우선순위에 두고도 대조군에서 제외했다는 지적이다.
이에 대해 일라이 릴리는 “타우가 없거나 수치가 매우 낮은 참가자를 제외하는 것은 표본의 크기를 줄이고 18개월 연구 기간에 변화 감지 능력을 높이기 위한 통계적 고려 사항이었다”며 “참가자의 임상 결과 평가에 대한 유효성 데이터는 없지만 단일 군에 등록된 약 200명의 참가자로부터 얻은 바이오마커 데이터가 있다”고 해명했다.
- [칼럼] 치매의 묘약, 알츠하이머가 부르는 아리아
- [칼럼] 알츠하이머 신약은 메시아가 될 수 있을까?
- [칼럼] 도나네맙과 임상적 의미를 가지는 최소 효과
- [기자의 눈] 레카네맙은 과연 최소한의 ‘임상적 의의’를 충족시키는가?
- [기자의 눈] 알츠하이머병 치료 위해 국내 승인된 레카네맙, 누구를 위한 승인일까?
- 10일 열리는 도나네맙의 FDA 자문위원회의, 허가될까?
- 식약처, '레켐비' 품목허가 승인...알츠하이머병 치매 치료제 '국내 첫 상륙'
- 알츠하이머병 치료제 ‘레켐비’, 美 FDA에 피하주사제 허가 신청
- 美 FDA, ‘초기 알츠하이머병 치료용 약물 개발’ 새 가이드라인 내놔
- 알츠하이머병 치료제 도나네맙, FDA 승인 지연
- [기자의 눈] 알츠하이머병 치료에 옵션 하나 추가한 무리수, 도나네맙 승인되나
- 알츠하이머병 치료제 도나네맙, FDA 승인...릴리 "1년 약제비 4451만원"
- 레켐비, 홍콩서 세계 다섯 번째 보건당국 승인
- [DN 산업 브리핑] ETRI·일라이릴리·뷰노
- 랜싯 치매 위원회가 본 ‘항아밀로이드 항체 치료제 논란’
- 英 연구진 “레켐비·키선라, 효과 ‘낮고’ 부작용 ‘빈번’”
- '공익 vs 사익' 건강보험 빅데이터 개방 둘러싼 기대와 우려..."사회적 신뢰 문제"
- [기자의 눈] ‘강남 치매 명의’의 퇴출된 치매 치료제 투약비 논란
- 日 후생노동성, 초기 알츠하이머병 치료제 '도나네맙' 승인
- 英 의학저널 “‘도나네맙 승인 권고’ FDA 자문위원, 개발사 릴리와 금전적 관계” 폭로
- NYT “레켐비·키선라, 유전적 취약성에도 임상 참여...결과 안 알려”